【デバイス再現性】
実験装置では様々な有機材料やプロセスを用いることから、信頼性の高いデータを取得するためには「材料」「装置」「デバイス」の多方面からのアプローチが必要です。
i³-operaでは全自動蒸着装置を導入し、独自の技術でカスタマイズすることで、不純物の影響と人依存性を極力排除した高いデバイス再現性を得ることができました。
全自動デバイス製作装置
【新型るつぼの開発による膜厚再現性の確立】
独自技術で開発した新型るつぼを使用することにより、高い膜厚再現性を確立することができました。材料量による変化、各材料における成膜バッチ間のバラツキを±1%以下に低減することができました。


各材料のTooling factor (TF)のバラツキ
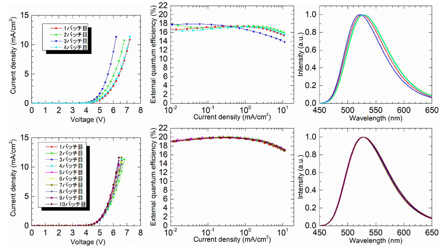
【デバイス特性の再現性】
膜厚再現性に加えてデバイス製作時間を制御することで初期特性の再現性が大幅に向上しました。

上:最適化前 下:最適化後
【デバイス寿命の再現性】
全自動デバイス製作装置で各有機層を成膜するタイミングを制御し、デバイス製作時間を同じにすることで、従来の手動装置に比べて寿命の再現性も大幅に向上しました。


上:従来の装置 下:全自動デバイス製作装置

